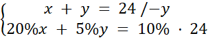
x – waga octu o stężeniu 20%
y – waga octu o stężeniu 5%
4,8 – 0,2y + 0,05y = 2,4 / - 4,8
-0,15y = -2,4 / · (-1)
0,15y = 2,4 / : 0,15
y = 16 kg
x = 24 – y = 24 – 16 = 8
x = 8 kg
Odp.: Musimy zmieszać 16 kg octu 5% i 8 kg octu 20%.
Utwórz z danych układ równań, wagę octu 20% i 5% zapisz odpowiednio x i y. Rozwiązywanie układu równań z dwoma niewiadomymi doprowadzi cię do masy jednego z octów, dzięki czemu będziesz w stanie obliczyć także masę drugiego.