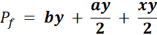
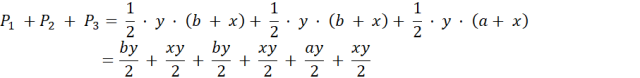
Zauważ, że pole figury to suma pól trójkątów opartych na podstawie y. Stwórz wyrażenie określające pole każdego z nich, a pole figury będzie sumą tych wyrażeń. Przekształć wyrażenie do najprostszej postaci, a następnie podstaw do niego wskazane wartości y, x, a i b. Pamiętaj, aby zredukować wyrazy podobne, na przykład:
a2+ 5b – c+ a2– b = 2a2 + 4b - c