Stara cena: a
Nowa cena: a – c
Obniżka:
Cena dwóch odkurzaczy:
2(a – c) = 2a – 2c [zł]
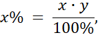
Obniżkę oblicz jako iloraz różnicy ceny nowej i starej przez cenę wyjściową. Aby obliczyć procent możemy skorzystać ze wzoru:
gdzie x – to liczba, której procent chcesz otrzymać, a y – to liczba, która stanowi całość.