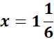
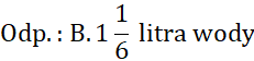
Mamy 0,5 l 10%, a chcemy z niego otrzymać 3% ocet:
Mamy 0,5 l płynu o stężeniu 10%, dodajemy do tego x litrów płynu o stężeniu 0% i otrzymujemy (0,5 + x) litra płynu o stężeniu 3%.