x – wiek mamy obecnie
y – wiek córki obecnie
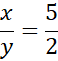
Układamy proporcje:
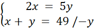
Stosujemy mnożenie proporcji na krzyż:
2x = 5y
7y = 98 / : 7
y = 14
x = 49 – y = 49 – 14 = 35
x = 35
Wiek za 5 lat:
x + 5 = 35 + 5 = 40
y + 5 = 14 +5 = 19
Odp.: Za pięć lat mama będzie miała 40 lat, a córka 19.
Utwórz z danych układ równań, wiek mamy i córki zapisz odpowiednio x i y. Przy odpowiedzi uważaj na fakt, iż pytanie dotyczy wieku za 5 lat. Trzeba więc dodać 5 do obecnego wieku mamy i córki.