| C3H5(OH)3 | |
| Wzór strukturalny |
|
| Wzór półstrukturalny |
|
| Wzór grupowy | CH2(OH)CH(OH)CH2OH |
| Nazwa | propano-1,2,3-triol |
| C2H5COOC2H5 | |
| Wzór strukturalny |
|
| Wzór półstrukturalny |
|
| Wzór grupowy | CH3CH2COOCH2CH3 |
| Nazwa | propanian etylu |
| CH2NH2COOH | |
| Wzór strukturalny |
|
| Wzór półstrukturalny |
|
| Wzór grupowy | CH2NH2COOH |
| Nazwa | kwas aminoetanowy |
| C15H31COOH | |
| Wzór strukturalny |
|
| Wzór półstrukturalny |
|
| Wzór grupowy | CH3(CH2)14COOH |
| Nazwa | kwas palmitynowy |
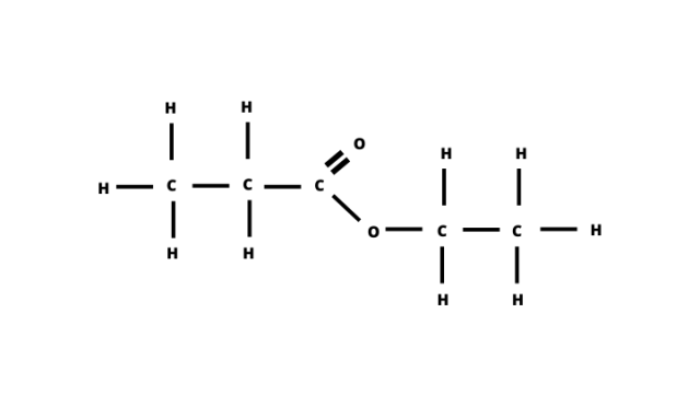
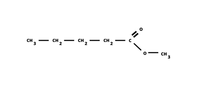
| C4H9COOCH3 | |
| Wzór strukturalny |
|
| Wzór półstrukturalny |
|
| Wzór grupowy | CH3(CH2)3COOCH3 |
| Nazwa | pentanian metylu |
| C5H11OH | |
| Wzór strukturalny |
|
| Wzór półstrukturalny |
|
| Wzór grupowy | CH3(CH2)4OH |
| Nazwa | pentanol |
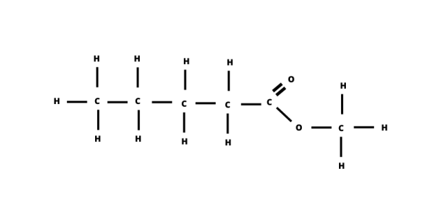
| C4H9COOH | |
| Wzór strukturalny |
|
| Wzór półstrukturalny |
|
| Wzór grupowy | CH3(CH2)3COOH |
| Nazwa | kwas pentanowy |