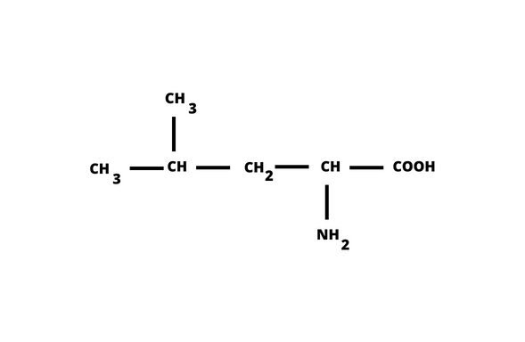
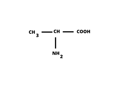
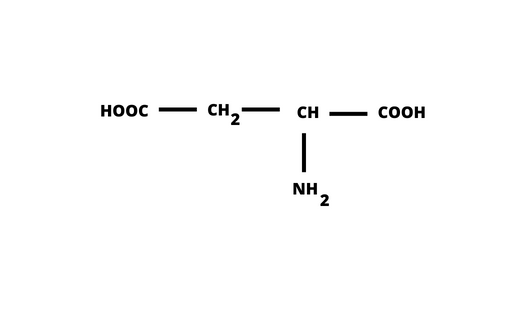
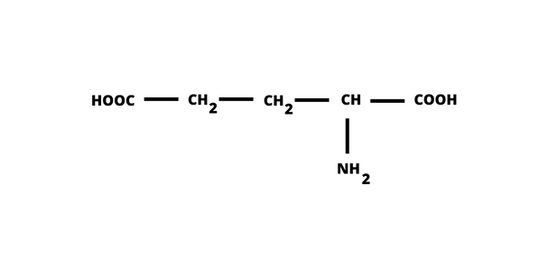
W tym zadaniu napisz wzory półstrukturalne aminokwasów wymienionych w tabeli 18., s. 185.
Wzory półstrukturalne aminokwasów wymienionych w tabeli 18., s. 185:
Ćwiczenie 1.
Ćwiczenie 2.
Podpunkt a)
Podpunkt b)
Ćwiczenie 3.
Ćwiczenie 4.
Ćwiczenie 5.
Ćwiczenie 6.
Ćwiczenie 7.
Ćwiczenie 8.
Podpunkt c)
Podpunkt d)