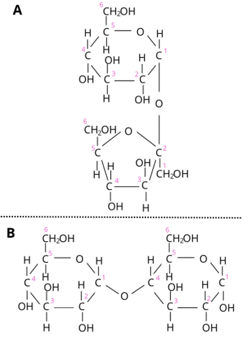
1. Cząsteczka disacharydu A składa się z fragmentów: α-D-glukopiranozy i β-D-fruktofuranozy, a cząsteczka disacharydu B składa się z dwóch fragmentów α-D-glukopiranozy. → prawda (P)
2. Fragmenty monosacharydów w disacharydzie A są połączone wiązaniem α,β-1,2-O-glikozydowym, a disacharydzie B α,β-1,4-O-glikozydowym. → prawda (P)
3. Disacharyd A jest zarówno α-glukozydem, jak i β-fruktozydem, a disacharyd B to α-glukozyd. → prawda (P)
4. W reakcji disacharydów A i B z alkaliczną zawiesiną wodorotlenku miedzi(II) osad Cu(OH)2 znika i tworzy się przezroczysty roztwór związków kompleksowych miedzi(II) o szafirowym zabarwieniu). → prawda (P)
5. Disacharyd A daje negatywny wynik prób Tollensa i Trommera, a disacharyd B daje pozytywny wynik obu prób. → prawda (P)
Zwróć uwagę, że cukier A to sacharoza, a cukier B to maltoza. Sacharoza zbudowana jest z α-glukozy i β-fruktozy. Natomiast maltozę buduję dwie cząsteczki α-glukozy. Jest to wiedza teoretyczna. Jeśli nie pamiętasz, co buduje dwucukry - można sprawdzić konfigurację cukrów prostych. W cukrach α grupa -OH przy anomerycznym atomie węgla jest pod pierścieniem, a w cukrach β - nad. Grupa hydroksylowa była miejscu, gdzie teraz jest wiązanie O-glikozydowe. Na fioletowo zaznaczono anomeryczne atomy węgla. Na różowo grupy -OH, które pozwolą wskazać konfigurację. Rysunek przedstawia monocukry, z których powstały dwucukry A i B.
Zdanie pierwsze jest zatem prawdziwe.
Zdanie drugie również jest prawdziwe. W sacharozie wiązanie jest pomiędzy atomem węgla C1 glukozy i C2 sacharozy. Z kolei w maltozie między atomem węgla C1 jednej cząsteczki glukozy i C4 drugiej cząsteczki glukozy.
Glukozydy to grupa związków, które formalnie są acetalami powstałymi z glukozy. Fruktozydy to acetale z fruktozy. Posiadają wiązanie acetalowe, które powstało przez eliminację cząsteczki wody. Wiązanie acetalowe to wiązanie eterowe C-O-C. Stąd zdanie trzecie jest prawdziwe.
Zdanie czwarte jest prawdziwe. Niezależnie od właściwości redukujących, dwucukry na zimno reagują z wodorotlenkiem miedzi(II). Ulega on roztworzeniu i powstaje klarowny, szafirowy roztwór. Dzieje się tak, ponieważ każdy disacharyd posiada więcej niż jedną grupę hydroksylową przy sąsiednich atomach węgla. Jest to reakcja charakterystyczna dla związków o takiej budowie.
Zdanie piąte jest prawdziwe. Wiązanie glikozydowe w sacharozie tworzy się z udziałem grup hydroksylowych związanych z anomerycznymi atomami fruktozy i glukozy. Uniemożliwia to otwarcie pierścienia i odtworzenie grupy aldehydowej -CHO, więc sacharoza nie ma właściwości redukujących, a zatem daje negatywny wynik prób Tollensa i Trommera. Natomiast maltoza ma wolny anomeryczny atom węgla C1 i dzięki temu ten związek może mieć odtworzoną grupę -CHO.