Ustal, jak za pomocą cyrkla i linijki podzielić odcinek na 4:5 równych części.
Zauważ, że aby podzielić odcinek w stosunku 4:5 należy podzielić go na 9 części, a następnie połączyć ze sobą 4 pierwsze i 5 ostatnich.
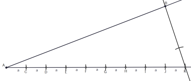
Narysuj dowolny kąt i umieść na jednym jego ramieniu odcinek AB, a na drugim za pomocą cyrkla 9 odcinków takiej samej, dowolnej długości.
Przez ostatnie punkty na każdym z ramion poprowadź prostą.
Następnie narysuj proste równoległe do uzyskanej prostej przechodzące przez zaznaczone punkty.
Aby to zrobić z punktu K zaznacz łuk przecinający powstałą prostą o promieniu długości JK.
Nie zmieniając rozpiętości cyrkla z uzyskanego przecięcia łuku i punktu J narysuj przecinające się łuki, a następnie narysuj prostą przechodzącą przecięcie łuków i punkt J.
W ten sposób uzyskano prostą równoległą do wyjściowej prostej.
W podobny sposób narysuj kolejne proste równoległe.
W ten sposób podzielono odcinek AB na 9 równych części.
Aby powstał odcinek podzielony w stosunki 4:5 zaznacz 4 początkowe odcinki jednym kolorem, a 5 końcowych drugim.
Zadanie 1
274Ćwiczenie 1
275Ćwiczenie 2
276Zadanie 1
276Zadanie 3
277Zadanie 5
277Zadanie 10
277Ćwiczenie 2
280Ćwiczenie 3
280Ćwiczenie 5
281Ćwiczenie 6
281Zadanie 1
282Zadanie 8
282Ćwiczenie 1
283Ćwiczenie 2
283Ćwiczenie 5
284Ćwiczenie 6
284Zadanie 1
285Zadanie 5
285Zadanie 6
286Ćwiczenie 1
287Ćwiczenie 2
287Ćwiczenie 3
288Ćwiczenie 4
289Ćwiczenie 5
289Zadanie 1
289Zadanie 3
289Zadanie 5
290Zadanie 12
290Ćwiczenie 2
291Ćwiczenie 3
291Ćwiczenie 5
292Zadanie 2
292Zadanie 3
293Zadanie 4
293Zadanie 5
293Zadanie 6
293Zadanie 7
293Zadanie 11
294Zadanie 13
294Zadanie 14
294Zadanie 1
296Zadanie 2
296Zadanie 4
296Ćwiczenie 1
297Ćwiczenie 3
298Ćwiczenie 5
298Ćwiczenie 6
298Zadanie 1
299Zadanie 3
299Zadanie 5
299Zadanie 14
300Ćwiczenie 1
302Zadanie 1
303Zadanie 1
306Zadanie 3
306Zadanie 4
306Zadanie 1
307Zadanie 2
307Zadanie 5
307Zadanie 7
307