Opracowanie wyników:
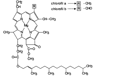
Chlorofile
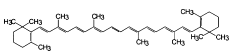
β-karoten
Luteina
Kolejność pojawiających się barwników na bibule: β-karoten, chlorofil a, chlorofil b, luteina
Wniosek:
Natka pietruszki zawiera chlorofile i karotenoidy.
Inne karotenoidy jak zeaksantyna chroni i usprawnia narząd wzroku, jest przeciwutleniaczem, zapobiega starzeniu się skóry.
Chromatografia to technika służąca do rozdziału mieszaniny związków chemicznych.