W tym zadaniu musisz rozwiązać podane równania.
-6(2x - 1) = x
-12x + 6 = x
-12x - x = - 6
-13x = - 6
-13x = - 6 /: (- 13)
Pomnóż równanie obustronnie przez 3:
-6(2x - 1) = x
Opuść nawias z lewej strony:
-6(2x - 1) = x
-12x + 6 = x
Przenieś x na lewą stronę z prawej i 6 na prawą stronę z lewej:
-12x + 6 = x
-12x - x = - 6
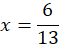
-13x = - 6
I podziel obustronnie przez - 13:
-13x = - 6 /: (- 13)
Ćwiczenie A
186Zadanie 1
187Zadanie 2
186Zadanie 3
186Zadanie 4
186Zadanie 5
186Zadanie 6
188Zadanie 7
188Ćwiczenie A
189Zadanie 1
190Zadanie 2
190Zadanie 4
190Zadanie 9
191Zadanie 11
191Zadanie 1
193Zadanie 2
193Zadanie 3
194Zadanie 4
194Zadanie 5
194Zadanie 6
194Zadanie 7
194Zadanie 8
194Zadanie 9
195Zadanie 10
195Zadanie 11
195Zadanie 12
195Zadanie 13
195Zadanie 14
196Zadanie 15
196Zadanie 16
196Zadanie 17
196Zadanie 9
198Ćwiczenie A
204Zadanie 10
207Zadanie 11
207Zadanie 1
210Zadanie 2
210Zadanie 5
210Zadanie 7
211Zadanie 1
214Zadanie 2
214Zadanie 7
214Zadanie 10
214Zadanie 11
214Zadanie 12
215Zadanie 13
215Zadanie 14
215Zadanie 15
215Zadanie 17
215Zadanie 25
216Zadanie 45
218Zadanie 47
218Zadanie 48
218