W tym zadaniu musisz rozwiązać podane równanie.
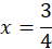
4(3x - 1) - 9[2x + 3(x - 2)] = 6
12x - 4 - 9[2x + 3x - 6] = 6
12x - 4 - 9[5x - 6] = 6
12x - 4 - 45x + 54 = 6
-33x + 50 = 6
-33x = 6 - 50
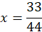
-33x = - 44
-33x = -44 /: ( -33)
Pomnóż równanie przez 6, aby pozbyć się ułamków:
4(3x - 1) - 9[2x + 3(x - 2)] = 6
Wymnóż nawiasy:
4(3x - 1) - 9[2x + 3(x - 2)] = 6
12x - 4 - 9[2x + 3x - 6] = 6
12x - 4 - 9[5x - 6] = 6
12x - 4 - 45x + 54 = 6
-33x + 50 = 6
Przenieś 50 na prawą stronę:
-33x = 6 - 50
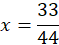
-33x = - 44
I podziel obustronnie przez - 33:
-33x = -44 /: ( -33)
Ćwiczenie A
186Zadanie 1
187Zadanie 2
186Zadanie 3
186Zadanie 4
186Zadanie 5
186Zadanie 6
188Zadanie 7
188Ćwiczenie A
189Zadanie 1
190Zadanie 2
190Zadanie 4
190Zadanie 9
191Zadanie 11
191Zadanie 1
193Zadanie 2
193Zadanie 3
194Zadanie 4
194Zadanie 5
194Zadanie 6
194Zadanie 7
194Zadanie 8
194Zadanie 9
195Zadanie 10
195Zadanie 11
195Zadanie 12
195Zadanie 13
195Zadanie 14
196Zadanie 15
196Zadanie 16
196Zadanie 17
196Zadanie 9
198Ćwiczenie A
204Zadanie 10
207Zadanie 11
207Zadanie 1
210Zadanie 2
210Zadanie 5
210Zadanie 7
211Zadanie 1
214Zadanie 2
214Zadanie 7
214Zadanie 10
214Zadanie 11
214Zadanie 12
215Zadanie 13
215Zadanie 14
215Zadanie 15
215Zadanie 17
215Zadanie 25
216Zadanie 45
218Zadanie 47
218Zadanie 48
218