W tym zadaniu musisz wyznaczyć długość a, aby spełniony był warunek z zadania.
Pole trójkąta AED dane jest wyrażeniem:
zaś pole trapezu ABCE to:
Pole tego trapezu ma być dwukrotnością pola trójkąta, więc:
15(30 - a) = 4 ∙ 15a
450 - 15a = 60a
450 = 60a + 15a
450 = 75a
75a = 450 /: 75
a = 6
Długość a musi być równa 6.
Pole trójkąta AED dane jest wyrażeniem:
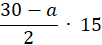
Pole trapezu ABCE dane jest wyrażeniem:
Pole trapezu ABCE ma być dwa razy większe od pola AED, więc otrzymujesz równanie:
Pomnóż to równanie obustronnie przez 2:
15(30 - a) = 4 ∙ 15a
450 - 15a = 60a
Przenieś - 15a na prawą stronę
450 = 60a + 15a
450 = 75a
i podziel obustronnie przez 75:
75a = 450 /: 75
a = 6
Ćwiczenie A
186Zadanie 1
187Zadanie 2
186Zadanie 3
186Zadanie 4
186Zadanie 5
186Zadanie 6
188Zadanie 7
188Ćwiczenie A
189Zadanie 1
190Zadanie 2
190Zadanie 4
190Zadanie 9
191Zadanie 11
191Zadanie 1
193Zadanie 2
193Zadanie 3
194Zadanie 4
194Zadanie 5
194Zadanie 6
194Zadanie 7
194Zadanie 8
194Zadanie 9
195Zadanie 10
195Zadanie 11
195Zadanie 12
195Zadanie 13
195Zadanie 14
196Zadanie 15
196Zadanie 16
196Zadanie 17
196Zadanie 9
198Ćwiczenie A
204Zadanie 10
207Zadanie 11
207Zadanie 1
210Zadanie 2
210Zadanie 5
210Zadanie 7
211Zadanie 1
214Zadanie 2
214Zadanie 7
214Zadanie 10
214Zadanie 11
214Zadanie 12
215Zadanie 13
215Zadanie 14
215Zadanie 15
215Zadanie 17
215Zadanie 25
216Zadanie 45
218Zadanie 47
218Zadanie 48
218