W tym zadaniu musisz wyznaczyć odpowiednie wartości x i y.
Równanie na pole figury:
3y + y + 2y + 8y + 4y = 48
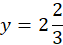
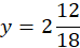
18y = 48
Pole tej figury to suma pól 4 trójkątów i 4 prostokątów. Pole dwóch z czterech trójkątów równe
Pole większych prostokątów to 4y, mniejszych zaś to 2y. Ich suma ma dać 48, więc:
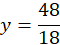
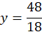
3y + y + 2y + 8y + 4y = 48
18y = 48
podziel obustronnie przez 18:
18y = 48 /: 18
Ćwiczenie A
186Zadanie 1
187Zadanie 2
186Zadanie 3
186Zadanie 4
186Zadanie 5
186Zadanie 6
188Zadanie 7
188Ćwiczenie A
189Zadanie 1
190Zadanie 2
190Zadanie 4
190Zadanie 9
191Zadanie 11
191Zadanie 1
193Zadanie 2
193Zadanie 3
194Zadanie 4
194Zadanie 5
194Zadanie 6
194Zadanie 7
194Zadanie 8
194Zadanie 9
195Zadanie 10
195Zadanie 11
195Zadanie 12
195Zadanie 13
195Zadanie 14
196Zadanie 15
196Zadanie 16
196Zadanie 17
196Zadanie 9
198Ćwiczenie A
204Zadanie 10
207Zadanie 11
207Zadanie 1
210Zadanie 2
210Zadanie 5
210Zadanie 7
211Zadanie 1
214Zadanie 2
214Zadanie 7
214Zadanie 10
214Zadanie 11
214Zadanie 12
215Zadanie 13
215Zadanie 14
215Zadanie 15
215Zadanie 17
215Zadanie 25
216Zadanie 45
218Zadanie 47
218Zadanie 48
218