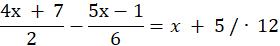
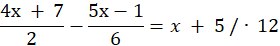
W tym zadaniu musisz rozwiązać podane równanie.
6(4x + 7) - 2(5x - 1) = 12(x + 5)
24x + 42 - 10x + 2 = 12x + 60
14x + 44 = 12x + 60
14x - 12x = 60 - 44
2x = 16
x = 8
Pomnóż równanie obustronnie przez 12, aby pozbyć się ułamków:
6(4x + 7) - 2(5x - 1) = 12(x + 5)
wymnóż nawiasy:
24x + 42 - 10x + 2 = 12x + 60
14x + 44 = 12x + 60
przenieś 12x na lewą stronę i 44 na prawą:
14x - 12x = 60 - 44
2x = 16
podziel obustronnie przez 2:
x = 8
Ćwiczenie A
186Zadanie 1
187Zadanie 2
186Zadanie 3
186Zadanie 4
186Zadanie 5
186Zadanie 6
188Zadanie 7
188Ćwiczenie A
189Zadanie 1
190Zadanie 2
190Zadanie 4
190Zadanie 9
191Zadanie 11
191Zadanie 1
193Zadanie 2
193Zadanie 3
194Zadanie 4
194Zadanie 5
194Zadanie 6
194Zadanie 7
194Zadanie 8
194Zadanie 9
195Zadanie 10
195Zadanie 11
195Zadanie 12
195Zadanie 13
195Zadanie 14
196Zadanie 15
196Zadanie 16
196Zadanie 17
196Zadanie 9
198Ćwiczenie A
204Zadanie 10
207Zadanie 11
207Zadanie 1
210Zadanie 2
210Zadanie 5
210Zadanie 7
211Zadanie 1
214Zadanie 2
214Zadanie 7
214Zadanie 10
214Zadanie 11
214Zadanie 12
215Zadanie 13
215Zadanie 14
215Zadanie 15
215Zadanie 17
215Zadanie 25
216Zadanie 45
218Zadanie 47
218Zadanie 48
218