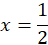
W tym zadaniu musisz znaleźć taką wartość x, która spełnia podane warunki.
Z treści zadania powstaje równanie:
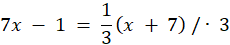
21x - 3 = x + 7
20x = 10
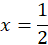
20x = 10 /: 20
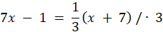
Wartość wyrażenia 7x - 1 ma być jedną trzecią wartości x + 7, więc:
Rozwiąż równanie, najpierw mnożąc obustronnie przez 3:
21x - 3 = x + 7
Przenieś x na lewą stronę i - 3 na prawą:
21x - x = 7 + 3
20x = 10
I podziel obustronnie przez 20:
20x = 10 /: 20
Ćwiczenie A
186Zadanie 1
187Zadanie 2
186Zadanie 3
186Zadanie 4
186Zadanie 5
186Zadanie 6
188Zadanie 7
188Ćwiczenie A
189Zadanie 1
190Zadanie 2
190Zadanie 4
190Zadanie 9
191Zadanie 11
191Zadanie 1
193Zadanie 2
193Zadanie 3
194Zadanie 4
194Zadanie 5
194Zadanie 6
194Zadanie 7
194Zadanie 8
194Zadanie 9
195Zadanie 10
195Zadanie 11
195Zadanie 12
195Zadanie 13
195Zadanie 14
196Zadanie 15
196Zadanie 16
196Zadanie 17
196Zadanie 9
198Ćwiczenie A
204Zadanie 10
207Zadanie 11
207Zadanie 1
210Zadanie 2
210Zadanie 5
210Zadanie 7
211Zadanie 1
214Zadanie 2
214Zadanie 7
214Zadanie 10
214Zadanie 11
214Zadanie 12
215Zadanie 13
215Zadanie 14
215Zadanie 15
215Zadanie 17
215Zadanie 25
216Zadanie 45
218Zadanie 47
218Zadanie 48
218