W tym zadaniu musisz ocenić, czy sposoby rozwiązania równania przedstawione w zadaniu są prawidłowe.
Oba sposoby są prawidłowe.
Sposób Oli:
6x = 36 - 18x /: 6
x = 6 - 3x
x = 6 - 3x / + 3x
4x = 6
4x = 6 /: 4
Sposób Krysi:
6x = 36 - 18x / + 18x
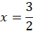
24x = 36
24x = 36 /: 24
Sposób Oli: najpierw podziel obustronnie przez 6
6x = 36 - 18x /: 6
x = 6 - 3x
Następnie dodaj obustronnie 3x:
x = 6 - 3x / + 3x
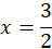
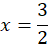
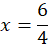
4x = 6
I podziel obie strony równania przez 4:
4x = 6 /: 4
W tym sposobie wszystkie działania zostały wykonane poprawnie.
Teraz sposób Krysi: zacznij od dodania obustronnie 18x:
6x = 36 - 18x / + 18x
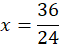
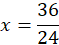
24x = 36
I podziel obustronnie przez 24:
24x = 36 /: 24
Ten sposób także doprowadził do poprawnego rozwiązania.
Ćwiczenie A
186Zadanie 1
187Zadanie 2
186Zadanie 3
186Zadanie 4
186Zadanie 5
186Zadanie 6
188Zadanie 7
188Ćwiczenie A
189Zadanie 1
190Zadanie 2
190Zadanie 4
190Zadanie 9
191Zadanie 11
191Zadanie 1
193Zadanie 2
193Zadanie 3
194Zadanie 4
194Zadanie 5
194Zadanie 6
194Zadanie 7
194Zadanie 8
194Zadanie 9
195Zadanie 10
195Zadanie 11
195Zadanie 12
195Zadanie 13
195Zadanie 14
196Zadanie 15
196Zadanie 16
196Zadanie 17
196Zadanie 9
198Ćwiczenie A
204Zadanie 10
207Zadanie 11
207Zadanie 1
210Zadanie 2
210Zadanie 5
210Zadanie 7
211Zadanie 1
214Zadanie 2
214Zadanie 7
214Zadanie 10
214Zadanie 11
214Zadanie 12
215Zadanie 13
215Zadanie 14
215Zadanie 15
215Zadanie 17
215Zadanie 25
216Zadanie 45
218Zadanie 47
218Zadanie 48
218