W tym zadaniu musisz obliczyć czas podróży z Gdańskiem i Gdynią.
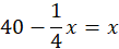
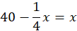
Niech x to będzie szukany czas podróży. Jedna czwarta z tego czasu to przejazd z Oliwy do Sopotu. Czas przejazdu z Gdańska do Sopotu i z Oliwy do Gdyni z wyciętym raz czasem przejazdu z Oliwy do Sopotu da szukany czas:
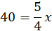
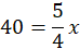
x = 32
Czas podróży między Gdańskiem i Gdynią wynosi 32 min.
Niech x to będzie czas przejazdu z Gdańska Głównego do Gdyni Głównej. Jedna czwarta tego czasu to czas przejazdu z Oliwy do Sopotu. Z Gdańska do Sopotu jedzie 21 min, a z Oliwy do Gdyni jedzie 19 min.
Więc jeżeli odejmiesz od sumy czasów przejazdu z Gdańska do Sopotu i z Oliwy do Gdyni czas przejazdu z Oliwy do Sopotu otrzymasz całkowity czas przejazdu:
Przenieś
x = 32
Czas podróży między Gdańskiem i Gdynią wynosi 32 min.
Ćwiczenie A
186Zadanie 1
187Zadanie 2
186Zadanie 3
186Zadanie 4
186Zadanie 5
186Zadanie 6
188Zadanie 7
188Ćwiczenie A
189Zadanie 1
190Zadanie 2
190Zadanie 4
190Zadanie 9
191Zadanie 11
191Zadanie 1
193Zadanie 2
193Zadanie 3
194Zadanie 4
194Zadanie 5
194Zadanie 6
194Zadanie 7
194Zadanie 8
194Zadanie 9
195Zadanie 10
195Zadanie 11
195Zadanie 12
195Zadanie 13
195Zadanie 14
196Zadanie 15
196Zadanie 16
196Zadanie 17
196Zadanie 9
198Ćwiczenie A
204Zadanie 10
207Zadanie 11
207Zadanie 1
210Zadanie 2
210Zadanie 5
210Zadanie 7
211Zadanie 1
214Zadanie 2
214Zadanie 7
214Zadanie 10
214Zadanie 11
214Zadanie 12
215Zadanie 13
215Zadanie 14
215Zadanie 15
215Zadanie 17
215Zadanie 25
216Zadanie 45
218Zadanie 47
218Zadanie 48
218