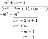
Dzielę wielomian przez
Otrzymuję wielomian:
Odpowiedź:
Aby funkcja miała swoje minimum, to współczynnik kierunkowy musi być większy od zera. Dodatkowo wierzchołek tej funkcji musi mieć wartość
. Po rozpatrzeniu obu warunków znajdź miejsca zerowe funkcji
w zależności od parametru m. Sprawdź, czy otrzymane miejsca zerowe mieszczą się w dziedzinie.