W tym zadaniu musisz obliczyć pole sześciokąta foremnego, na którym opisano okrąg o promieniu 2 cm.
a – długość boku sześciokąta
R – promień okręgu
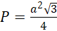
Sześciokąt foremny jest złożony z 6 trójkątów równobocznych. Wzór na pole sześciokąta foremnego uzyskasz mnożąc razy 6 wzór na pole trójkąta równobocznego:
Ćwiczenie 2
139Zadanie 2
140Zadanie 4
140Ćwiczenie sprawdzające I
141Ćwiczenie 1
146Zadanie 1
147Zadanie 2
147Zadanie 8
148Zadanie 9
148Zadanie dla dociekliwych 3
149Ćwiczenie sprawdzające I
149Ćwiczenie sprawdzające II
149Ćwiczenie sprawdzające III
149Zadanie 8
156Pytanie 1
158Ćwiczenie 1
159Ćwiczenie 2
161Zadanie 1
163Zadanie 4
163Zadanie 5
163Zadanie 10
163Zadanie 12
164Ćwiczenie sprawdzające IV
164Zadanie 1.1
165Zadanie 1.3
165Zadanie 1.4
165Zadanie 1.10
165Zadanie 7
170Zadanie 10
171Zadanie 14
171