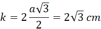
W tym zadaniu musisz obliczyć długości przekątnych sześciokąta foremnego, na którym opisano okrąg o promieniu 2 cm.
a – długość boku sześciokąta
k – długość krótszej przekątnej sześciokąta
l – długość dłuższej przekątnej sześciokąta
Sześciokąt foremny podziel na 6 trójkątów równobocznych o boku długości boku sześciokąta. Zauważ, że sześciokąt ma przekątne o dwóch różnych długościach. Dłuższa z nich ma długość 2 podstaw, a krótsza dwóch wysokości trójkąta równobocznego.
Ćwiczenie 2
139Zadanie 2
140Zadanie 4
140Ćwiczenie sprawdzające I
141Ćwiczenie 1
146Zadanie 1
147Zadanie 2
147Zadanie 8
148Zadanie 9
148Zadanie dla dociekliwych 3
149Ćwiczenie sprawdzające I
149Ćwiczenie sprawdzające II
149Ćwiczenie sprawdzające III
149Zadanie 8
156Pytanie 1
158Ćwiczenie 1
159Ćwiczenie 2
161Zadanie 1
163Zadanie 4
163Zadanie 5
163Zadanie 10
163Zadanie 12
164Ćwiczenie sprawdzające IV
164Zadanie 1.1
165Zadanie 1.3
165Zadanie 1.4
165Zadanie 1.10
165Zadanie 7
170Zadanie 10
171Zadanie 14
171