W tym zadaniu musisz obliczyć długości przekątnych sześciokąta foremnego.
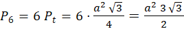
Pole sześciokąta jako sumy sześciu trójkątów równobocznych:
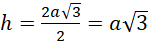
Znajdź bok sześciokąta na podstawie jego pola. Dłuższe przekątne sześciokąta foremnego dzielą go na 6 przystających trójkątów równobocznych o boku równym połowie długości tej przekątnej. Krótsza przekątna ma wartość taką, jak wysokość trójkąta równobocznego o boku dwukrotnie dłuższym od boku sześciokąta (a), zatem jej wartość obliczyć można ze wzoru:
Ćwiczenie 2
139Zadanie 2
140Zadanie 4
140Ćwiczenie sprawdzające I
141Ćwiczenie 1
146Zadanie 1
147Zadanie 2
147Zadanie 8
148Zadanie 9
148Zadanie dla dociekliwych 3
149Ćwiczenie sprawdzające I
149Ćwiczenie sprawdzające II
149Ćwiczenie sprawdzające III
149Zadanie 8
156Pytanie 1
158Ćwiczenie 1
159Ćwiczenie 2
161Zadanie 1
163Zadanie 4
163Zadanie 5
163Zadanie 10
163Zadanie 12
164Ćwiczenie sprawdzające IV
164Zadanie 1.1
165Zadanie 1.3
165Zadanie 1.4
165Zadanie 1.10
165Zadanie 7
170Zadanie 10
171Zadanie 14
171