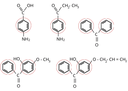
Wyróżniamy kilka rodzajów filtrów, ale jednym z nich są filtry organiczne (chemiczne). Są to związki z pierścieniem aromatycznym. Wspólną cechą tych związków są wiązania podwójne i wolne pary elektronów. Benzen ma wiązanie pi zdelokalizowane, co wiąże się z obecnością chmury elektronowej. Związki organiczne mają zdolność do pochłaniania promieniowania UV i przechodzenia w stan wzbudzony. Przechodząc z kolei w stan podstawowy uwalniają energię cieplną lub świetlną, chroniąc skórę.
We wszystkich narysowanych związkach obecny jest pierścień aromatyczny i to on jest odpowiedzialny za użyteczność tych substancji jako filtrów UV.