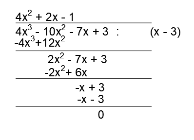
W(x) = 4x3 – 10x2 – 7x + 3
a = 3
W(3) = 4 · 33 – 10 · 32 – 7 · 3 + 3 = 0
W(x) = (x – 3)(4x2 + 2x – 1)
4x3 – 10x2 – 7x + 3 = 0
(x – 3)(4x2 + 2x – 1) = 0
x – 3 = 0 lub 4x2 + 2x – 1 = 0
Pozostałymi pierwiastkami tego równania są liczby:
,
.
Jeśli wielomian W(x) jest podzielny przez dwumian D(x) = x – a, gdzie a to dzielniki wyrazu wolnego, to wtedy W(a) = 0, co oznacza, że jeżeli podstawisz za „x”, wartość a to wartość wielomianu będzie równa zeru.