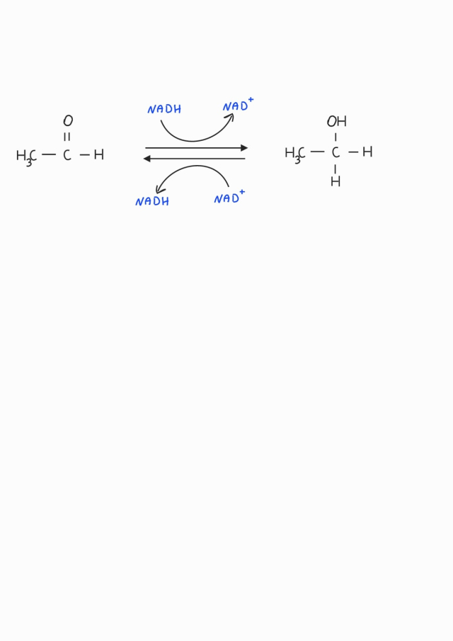
W tym zadaniu musisz uzupełnić schemat skróconymi nazwami dinukleotydów- NAD+ i NADH.
Rozwiązanie
Wyjaśnienie
Reakcja, w której NADH jest donorem elektronów (2) i protonu (1), to reakcja redukcji (sam NADH ulega w niej utlenieniu). Natomiast reakcja, w której NAD+ przyjmuje elektrony i proton, sam ulegając redukcji, to reakcja utleniania.