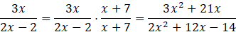
W tym zadaniu musisz rozszerzyć ułamek algebraiczny, tak ułamek miał wskazany mianownik:
Jako założenie musisz przyjąć, że mianownik musi być różny od zera. W ten sposób wyznaczasz dziedzinę. Następnie musisz rozszerzyć ułamek o takie wyrażenie, aby w mianowniku było
Zadanie 1.
7Zadanie 2.
7Zadanie 3.
9Zadanie 4.
10Zadanie 5.
10Zadanie 6.
10Zadanie 7.
10Zadanie 8.
11Zadanie 9.
11Zadanie 10.
11Zadanie 11.
11Zadanie 1.
12Zadanie 2.
15Zadanie 4.
16Zadanie 5.
16Zadanie 6.
16Zadanie 7.
16Zadanie 8.
16Zadanie 3.
20Zadanie 4.
20Zadanie 5.
20Zadanie 6.
20Zadanie 7.
20Zadanie 8.
20Zadanie 2.
22Zadanie 3.
23Zadanie 4.
24Zadanie 5.
24Zadanie 6.
24Zadanie 1.
25Zadanie 3.
27Zadanie 4.
28Zadanie 5.
28Zadanie 6.
28Zadanie 7.
28Zadanie 5.
39Zadanie 6.
40Zadanie 7.
40Zadanie 8.
40Zadanie 9.
40Zadanie 10.
41Zadanie 11.
41Zadanie 12.
41Zadanie 13.
41Zadanie 14.
41Zadanie 8.
43Zadanie 9.
43Zadanie 10.
43