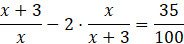
W tym zadaniu musisz wyznaczyć ułamek, wiedząc, że jest on liczbą dodatnią, a jego licznik jest o 3 większy od mianownika. Różnica tego ułamka i podwojonej jego odwrotności jest równa 0,35.
Zatem
Różnica tego ułamka i podwojonej jego odwrotności jest równa 0,35:
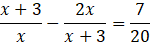
Zatem
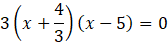
Szukany ułamek to
Najpierw opisz zmiennymi osobno licznik i mianownik szukanego ułamka, zapisz, że dany ułamek ma być dodatni, czyli większy od zera, rozważ dwie możliwości, dla których to będzie możliwe, w ten sposób określasz dziedzinę. Następnie rozwiąż równanie, z którego wynika, że różnica tego ułamka i podwojonej jego odwrotności jest równa 0,35. Zapisz rozwiązanie i sprawdź, czy należą do dziedziny. Rozwiązanie tego równania, należące do dziedziny, to
Zadanie 1.
7Zadanie 2.
7Zadanie 3.
9Zadanie 4.
10Zadanie 5.
10Zadanie 6.
10Zadanie 7.
10Zadanie 8.
11Zadanie 9.
11Zadanie 10.
11Zadanie 11.
11Zadanie 1.
12Zadanie 2.
15Zadanie 4.
16Zadanie 5.
16Zadanie 6.
16Zadanie 7.
16Zadanie 8.
16Zadanie 3.
20Zadanie 4.
20Zadanie 5.
20Zadanie 6.
20Zadanie 7.
20Zadanie 8.
20Zadanie 2.
22Zadanie 3.
23Zadanie 4.
24Zadanie 5.
24Zadanie 6.
24Zadanie 1.
25Zadanie 3.
27Zadanie 4.
28Zadanie 5.
28Zadanie 6.
28Zadanie 7.
28Zadanie 5.
39Zadanie 6.
40Zadanie 7.
40Zadanie 8.
40Zadanie 9.
40Zadanie 10.
41Zadanie 11.
41Zadanie 12.
41Zadanie 13.
41Zadanie 14.
41Zadanie 8.
43Zadanie 9.
43Zadanie 10.
43