Zadanie

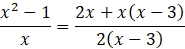
W tym zadaniu musisz rozwiązać równanie . Pamiętaj o wyznaczeniu dziedziny.

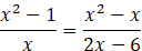
Rozwiązanie

Wyjaśnienie

Zadania z tego działu
Ułamki algebraiczne. Równania wymierne
7