W tym zadaniu musisz wykazać, żejeśli
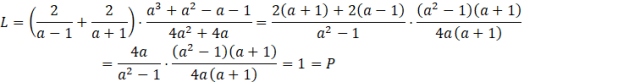
Co należało wykazać.
Aby wykazać, że wyrażenie
Zadanie 1.
7Zadanie 2.
7Zadanie 3.
9Zadanie 4.
10Zadanie 5.
10Zadanie 6.
10Zadanie 7.
10Zadanie 8.
11Zadanie 9.
11Zadanie 10.
11Zadanie 11.
11Zadanie 1.
12Zadanie 2.
15Zadanie 4.
16Zadanie 5.
16Zadanie 6.
16Zadanie 7.
16Zadanie 8.
16Zadanie 3.
20Zadanie 4.
20Zadanie 5.
20Zadanie 6.
20Zadanie 7.
20Zadanie 8.
20Zadanie 2.
22Zadanie 3.
23Zadanie 4.
24Zadanie 5.
24Zadanie 6.
24Zadanie 1.
25Zadanie 3.
27Zadanie 4.
28Zadanie 5.
28Zadanie 6.
28Zadanie 7.
28Zadanie 5.
39Zadanie 6.
40Zadanie 7.
40Zadanie 8.
40Zadanie 9.
40Zadanie 10.
41Zadanie 11.
41Zadanie 12.
41Zadanie 13.
41Zadanie 14.
41Zadanie 8.
43Zadanie 9.
43Zadanie 10.
43