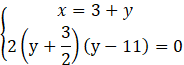
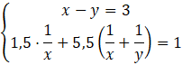
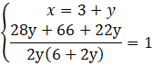
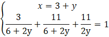
W tym zadaniu musisz obliczyć, w jakim czasie pierwsza pompa sama opróżniłaby zbiornik, wiedząc, że pierwsza pompa, pracując samodzielnie, opróżnia zbiornik w czasie o 3 godziny dłuższym niż druga pompa. Pewnego dnia pierwsza pompa pracowała samodzielnie przez 1,5 godziny, a następnie opróżnianie zbiornika dokończyły obie pompy, pracując razem przez 5,5 godziny.
Liczba godzin potrzebna na opróżnienie zbiornika tylko drugą pompą, opisana jako
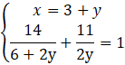
Czas potrzebny na opróżnienie zbiornika tylko pierwszą pompą to 14 godzin.
Najpierw opisz zmiennymi liczbę godzin potrzebnych na opróżnienie całego zbiornika, osobno pierwszą i drugą pompą oraz część wykonanej pracy przez każdą pompę w ciągu godziny, rozwiąż układ równań z równań, które zostały ułożone na podstawie informacji zawartych w poleceniu, a następnie zapisz rozwiązanie. Czas potrzebny na opróżnienie zbiornika tylko pierwszą pompą to 14 godzin.
Zadanie 1.
7Zadanie 2.
7Zadanie 3.
9Zadanie 4.
10Zadanie 5.
10Zadanie 6.
10Zadanie 7.
10Zadanie 8.
11Zadanie 9.
11Zadanie 10.
11Zadanie 11.
11Zadanie 1.
12Zadanie 2.
15Zadanie 4.
16Zadanie 5.
16Zadanie 6.
16Zadanie 7.
16Zadanie 8.
16Zadanie 3.
20Zadanie 4.
20Zadanie 5.
20Zadanie 6.
20Zadanie 7.
20Zadanie 8.
20Zadanie 2.
22Zadanie 3.
23Zadanie 4.
24Zadanie 5.
24Zadanie 6.
24Zadanie 1.
25Zadanie 3.
27Zadanie 4.
28Zadanie 5.
28Zadanie 6.
28Zadanie 7.
28Zadanie 5.
39Zadanie 6.
40Zadanie 7.
40Zadanie 8.
40Zadanie 9.
40Zadanie 10.
41Zadanie 11.
41Zadanie 12.
41Zadanie 13.
41Zadanie 14.
41Zadanie 8.
43Zadanie 9.
43Zadanie 10.
43