Zadanie

W tym zadaniu musisz wykonać działanie: i wyznaczyć dziedzinę otrzymanego ułamka.

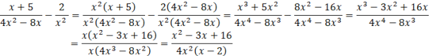
Rozwiązanie

Wyjaśnienie

Zadania z tego działu
Ułamki algebraiczne. Równania wymierne
7