Zadanie

W tym zadaniu musisz wykonać działanie: i podać konieczne założenia.

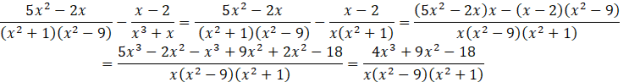
Rozwiązanie

Wyjaśnienie

Zadania z tego działu
Ułamki algebraiczne. Równania wymierne
7