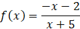
W tym zadaniu musisz wyznaczyć argument, dla którego funkcja
Aby wyznaczyć argument, dla którego wartość funkcji jest równa
Zadanie 1.
7Zadanie 2.
7Zadanie 3.
9Zadanie 4.
10Zadanie 5.
10Zadanie 6.
10Zadanie 7.
10Zadanie 8.
11Zadanie 9.
11Zadanie 10.
11Zadanie 11.
11Zadanie 1.
12Zadanie 2.
15Zadanie 4.
16Zadanie 5.
16Zadanie 6.
16Zadanie 7.
16Zadanie 8.
16Zadanie 3.
20Zadanie 4.
20Zadanie 5.
20Zadanie 6.
20Zadanie 7.
20Zadanie 8.
20Zadanie 2.
22Zadanie 3.
23Zadanie 4.
24Zadanie 5.
24Zadanie 6.
24Zadanie 1.
25Zadanie 3.
27Zadanie 4.
28Zadanie 5.
28Zadanie 6.
28Zadanie 7.
28Zadanie 5.
39Zadanie 6.
40Zadanie 7.
40Zadanie 8.
40Zadanie 9.
40Zadanie 10.
41Zadanie 11.
41Zadanie 12.
41Zadanie 13.
41Zadanie 14.
41Zadanie 8.
43Zadanie 9.
43Zadanie 10.
43