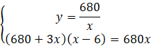
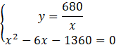
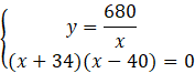
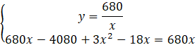
W tym zadaniu musisz obliczyć, ile rzędów krzeseł ustawiono w sali konferencyjnej oraz ile było krzeseł w jednym rzędzie, wiedząc, że ustawiono krzesła dla 680 osób, w kilkunastu rzędach, w każdym rzędzie po tyle samo krzeseł, ale gdyby rzędów krzeseł było o 3 więcej, to w każdym rzędzie siedziałoby o 6 osób mniej.
Liczba krzeseł opisana jako
Było 17 rzędów krzeseł, a w każdym rzędzie po 40 krzeseł.
Najpierw opisz zmiennymi liczbę krzeseł w rzędzie i liczbę rzędów, rozwiąż układ równań z równań, które zostały ułożone na podstawie informacji zawartych w poleceniu, a następnie zapisz rozwiązanie. Było 17 rzędów krzeseł, a w każdym rzędzie po 40 krzeseł.
Zadanie 1.
7Zadanie 2.
7Zadanie 3.
9Zadanie 4.
10Zadanie 5.
10Zadanie 6.
10Zadanie 7.
10Zadanie 8.
11Zadanie 9.
11Zadanie 10.
11Zadanie 11.
11Zadanie 1.
12Zadanie 2.
15Zadanie 4.
16Zadanie 5.
16Zadanie 6.
16Zadanie 7.
16Zadanie 8.
16Zadanie 3.
20Zadanie 4.
20Zadanie 5.
20Zadanie 6.
20Zadanie 7.
20Zadanie 8.
20Zadanie 2.
22Zadanie 3.
23Zadanie 4.
24Zadanie 5.
24Zadanie 6.
24Zadanie 1.
25Zadanie 3.
27Zadanie 4.
28Zadanie 5.
28Zadanie 6.
28Zadanie 7.
28Zadanie 5.
39Zadanie 6.
40Zadanie 7.
40Zadanie 8.
40Zadanie 9.
40Zadanie 10.
41Zadanie 11.
41Zadanie 12.
41Zadanie 13.
41Zadanie 14.
41Zadanie 8.
43Zadanie 9.
43Zadanie 10.
43