Zadanie

W tym zadaniu musisz wykonać dzielenie i podać dziedzinę.

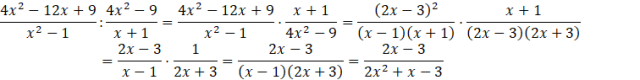
Rozwiązanie

Wyjaśnienie

Zadania z tego działu
Ułamki algebraiczne. Równania wymierne
7