Zadanie

W tym zadaniu musisz rozszerzyć ułamek algebraiczny, tak ułamek miał wskazany mianownik: oraz podać konieczne założenia.

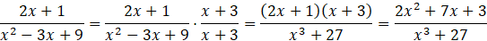
Rozwiązanie

Wyjaśnienie

Zadania z tego działu
Ułamki algebraiczne. Równania wymierne
7