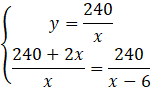
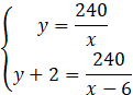
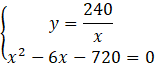
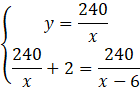
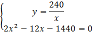
W tym zadaniu musisz obliczyć, ile dni turysta był w drodze, wiedząc, że przebył na rowerze trasę 240 km, pokonując każdego dnia taką samą liczbę kilometrów, ale gdyby codziennie pokonywał o 6 km mniej, to byłby w drodze o 2 dni dłużej.
Liczba kilometrów opisana jako
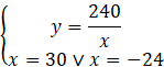
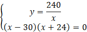
Turysta był w drodze 8 dni.
Najpierw opisz zmiennymi liczbę kilometrów, które codziennie przejeżdżał turysta i liczbę dni, przez które przejechał 240 km. Rozwiąż układ równań z równań, które zostały ułożone na podstawie informacji zawartych w poleceniu, a następnie zapisz rozwiązanie. Turysta przejeżdżał dziennie 30 km, a daną trasę pokonał w ciągu 8 dni.
Zadanie 1.
7Zadanie 2.
7Zadanie 3.
9Zadanie 4.
10Zadanie 5.
10Zadanie 6.
10Zadanie 7.
10Zadanie 8.
11Zadanie 9.
11Zadanie 10.
11Zadanie 11.
11Zadanie 1.
12Zadanie 2.
15Zadanie 4.
16Zadanie 5.
16Zadanie 6.
16Zadanie 7.
16Zadanie 8.
16Zadanie 3.
20Zadanie 4.
20Zadanie 5.
20Zadanie 6.
20Zadanie 7.
20Zadanie 8.
20Zadanie 2.
22Zadanie 3.
23Zadanie 4.
24Zadanie 5.
24Zadanie 6.
24Zadanie 1.
25Zadanie 3.
27Zadanie 4.
28Zadanie 5.
28Zadanie 6.
28Zadanie 7.
28Zadanie 5.
39Zadanie 6.
40Zadanie 7.
40Zadanie 8.
40Zadanie 9.
40Zadanie 10.
41Zadanie 11.
41Zadanie 12.
41Zadanie 13.
41Zadanie 14.
41Zadanie 8.
43Zadanie 9.
43Zadanie 10.
43