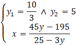
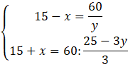
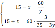
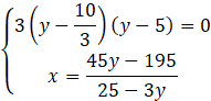
W tym zadaniu musisz obliczyć, jaką prędkość ma prąd rzeki, wiedząc, że prędkość własna motorówki wynosi 15 km/h. Motorówka wyruszyła z przystani rzecznej A i po przypłynięciu do przystani B od razu zawróciła, kierując się do przystani A. Trasę od A do B i z powrotem, o łącznej długości 120 km, pokonała w czasie 8 godzin i 20 minut.
Czas, w którym motorówka pokonała daną trasę to
Prędkość rzeki opisana jako
Prędkość prądu rzeki wynosiła 3 km/h.
Najpierw opisz zmiennymi prędkość prądu rzeki oraz liczbę godzin, gdy motorówka płynęła pod prąd, rozwiąż układ równań z równań, które zostały ułożone na podstawie informacji zawartych w poleceniu, a następnie zapisz rozwiązanie. Prędkość prądu rzeki wynosi 3 km/h.
Zadanie 1.
7Zadanie 2.
7Zadanie 3.
9Zadanie 4.
10Zadanie 5.
10Zadanie 6.
10Zadanie 7.
10Zadanie 8.
11Zadanie 9.
11Zadanie 10.
11Zadanie 11.
11Zadanie 1.
12Zadanie 2.
15Zadanie 4.
16Zadanie 5.
16Zadanie 6.
16Zadanie 7.
16Zadanie 8.
16Zadanie 3.
20Zadanie 4.
20Zadanie 5.
20Zadanie 6.
20Zadanie 7.
20Zadanie 8.
20Zadanie 2.
22Zadanie 3.
23Zadanie 4.
24Zadanie 5.
24Zadanie 6.
24Zadanie 1.
25Zadanie 3.
27Zadanie 4.
28Zadanie 5.
28Zadanie 6.
28Zadanie 7.
28Zadanie 5.
39Zadanie 6.
40Zadanie 7.
40Zadanie 8.
40Zadanie 9.
40Zadanie 10.
41Zadanie 11.
41Zadanie 12.
41Zadanie 13.
41Zadanie 14.
41Zadanie 8.
43Zadanie 9.
43Zadanie 10.
43