Zadanie

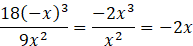
W tym zadaniu musisz skrócić ułamek algebraiczny: oraz podać konieczne założenia.

Rozwiązanie

Wyjaśnienie

Zadania z tego działu
Ułamki algebraiczne. Równania wymierne
7