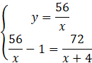
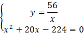
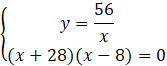
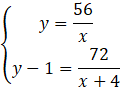
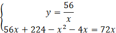
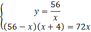
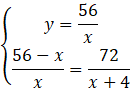
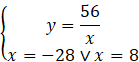
W tym zadaniu musisz obliczyć, ile stolików dziennie wykonywał każdy z dwóch zakładów, w których właściciel restauracji zlecił wykonanie stolików, wiedząc, że pierwszy zakład, zatrudniający więcej pracowników, miał wykonać 72 stoliki, a drugi 56 stolików, pierwszy zakład wykonuje dziennie o 4 stoliki więcej niż drugi. Drugi zakład wykonał zamówienie w terminie, zaś pierwszy o jeden dzień wcześniej niż ustalano.
Liczba stolików opisana jako
Pierwszy zakład dziennie produkował
Najpierw opisz zmiennymi liczbę dziennie wykonanych stolików przez każdy z zakładów oraz liczbę dni, przez które zakłady wykonywały zlecenie, rozwiąż układ równań z równań, które zostały ułożone na podstawie informacji zawartych w poleceniu, a następnie zapisz rozwiązanie. Pierwszy zakład dziennie produkował 12 stolików, a drugi zakład 8 stolików.
Zadanie 1.
7Zadanie 2.
7Zadanie 3.
9Zadanie 4.
10Zadanie 5.
10Zadanie 6.
10Zadanie 7.
10Zadanie 8.
11Zadanie 9.
11Zadanie 10.
11Zadanie 11.
11Zadanie 1.
12Zadanie 2.
15Zadanie 4.
16Zadanie 5.
16Zadanie 6.
16Zadanie 7.
16Zadanie 8.
16Zadanie 3.
20Zadanie 4.
20Zadanie 5.
20Zadanie 6.
20Zadanie 7.
20Zadanie 8.
20Zadanie 2.
22Zadanie 3.
23Zadanie 4.
24Zadanie 5.
24Zadanie 6.
24Zadanie 1.
25Zadanie 3.
27Zadanie 4.
28Zadanie 5.
28Zadanie 6.
28Zadanie 7.
28Zadanie 5.
39Zadanie 6.
40Zadanie 7.
40Zadanie 8.
40Zadanie 9.
40Zadanie 10.
41Zadanie 11.
41Zadanie 12.
41Zadanie 13.
41Zadanie 14.
41Zadanie 8.
43Zadanie 9.
43Zadanie 10.
43