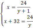
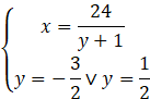
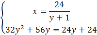
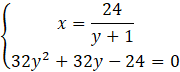
W tym zadaniu musisz obliczyć, z jakimi prędkościami jechały Monika i Ada, wiedząc, że mieszkają one w dwóch różnych miejscowościach odległych o 48 km. Obie postanowiły spotkać się w połowie drogi. Monika wyjechała o godzinę wcześniej niż Ada, ale Ada jechała z prędkością o 32 km/h większą niż Monika.
Długość trasy każdej z dziewczyn wynosi 24 km.
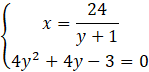
Liczba godzin opisana jako
Monika jechała rowerem z prędkością 16 km/h, a Ada jechała skuterem z prędkością 48 km/h.
Najpierw opisz zmiennymi prędkość obu dziewczyn oraz czas ich podroży, rozwiąż układ równań z równań, które zostały ułożone na podstawie informacji zawartych w poleceniu, a następnie zapisz rozwiązanie. Monika jechała rowerem z prędkością 16 km/h, a Ada jechała skuterem z prędkością 48 km/h.
Zadanie 1.
7Zadanie 2.
7Zadanie 3.
9Zadanie 4.
10Zadanie 5.
10Zadanie 6.
10Zadanie 7.
10Zadanie 8.
11Zadanie 9.
11Zadanie 10.
11Zadanie 11.
11Zadanie 1.
12Zadanie 2.
15Zadanie 4.
16Zadanie 5.
16Zadanie 6.
16Zadanie 7.
16Zadanie 8.
16Zadanie 3.
20Zadanie 4.
20Zadanie 5.
20Zadanie 6.
20Zadanie 7.
20Zadanie 8.
20Zadanie 2.
22Zadanie 3.
23Zadanie 4.
24Zadanie 5.
24Zadanie 6.
24Zadanie 1.
25Zadanie 3.
27Zadanie 4.
28Zadanie 5.
28Zadanie 6.
28Zadanie 7.
28Zadanie 5.
39Zadanie 6.
40Zadanie 7.
40Zadanie 8.
40Zadanie 9.
40Zadanie 10.
41Zadanie 11.
41Zadanie 12.
41Zadanie 13.
41Zadanie 14.
41Zadanie 8.
43Zadanie 9.
43Zadanie 10.
43