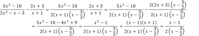
W tym zadaniu musisz wykonać działanie:
W działaniu, które musisz wykonać ułamki, mają różne mianowniki, a więc musisz sprowadzić je do wspólnego mianownika. Najpierw zapisz mianowniki w postaci iloczynowej, w pierwszym skorzystaj z delty, dzięki temu zauważysz, że wspólnym mianownikiem może być
Zadanie 1.
7Zadanie 2.
7Zadanie 3.
9Zadanie 4.
10Zadanie 5.
10Zadanie 6.
10Zadanie 7.
10Zadanie 8.
11Zadanie 9.
11Zadanie 10.
11Zadanie 11.
11Zadanie 1.
12Zadanie 2.
15Zadanie 4.
16Zadanie 5.
16Zadanie 6.
16Zadanie 7.
16Zadanie 8.
16Zadanie 3.
20Zadanie 4.
20Zadanie 5.
20Zadanie 6.
20Zadanie 7.
20Zadanie 8.
20Zadanie 2.
22Zadanie 3.
23Zadanie 4.
24Zadanie 5.
24Zadanie 6.
24Zadanie 1.
25Zadanie 3.
27Zadanie 4.
28Zadanie 5.
28Zadanie 6.
28Zadanie 7.
28Zadanie 5.
39Zadanie 6.
40Zadanie 7.
40Zadanie 8.
40Zadanie 9.
40Zadanie 10.
41Zadanie 11.
41Zadanie 12.
41Zadanie 13.
41Zadanie 14.
41Zadanie 8.
43Zadanie 9.
43Zadanie 10.
43