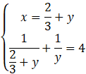
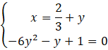
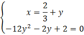
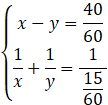
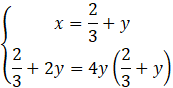
W tym zadaniu musisz obliczyć, ile czasu zajęłoby uczniowi samodzielne obranie ziemniaków, wiedząc, że uczniowi pracującemu samodzielnie zajęłoby to o 40 minut dłużej niż kucharzowi, a pracując wspólnie, wykonali tę pracę w ciągu 15 minut.
Liczba godzin potrzebna na obieranie ziemniaków przez samego kucharza opisana jako
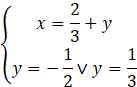
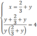
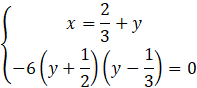
Czas potrzebny na obieranie ziemniaków przez samego ucznia to 1 godzina.
Najpierw opisz zmiennymi liczbę godzin potrzebnych na obranie ziemniaków, osobno ucznia i kucharza oraz część wykonanej pracy przez każdego z nich w ciągu godziny, rozwiąż układ równań z równań, które zostały ułożone na podstawie informacji zawartych w poleceniu, a następnie zapisz rozwiązanie. Czas potrzebny na obieranie ziemniaków przez samego ucznia to 1 godzina.
Zadanie 1.
7Zadanie 2.
7Zadanie 3.
9Zadanie 4.
10Zadanie 5.
10Zadanie 6.
10Zadanie 7.
10Zadanie 8.
11Zadanie 9.
11Zadanie 10.
11Zadanie 11.
11Zadanie 1.
12Zadanie 2.
15Zadanie 4.
16Zadanie 5.
16Zadanie 6.
16Zadanie 7.
16Zadanie 8.
16Zadanie 3.
20Zadanie 4.
20Zadanie 5.
20Zadanie 6.
20Zadanie 7.
20Zadanie 8.
20Zadanie 2.
22Zadanie 3.
23Zadanie 4.
24Zadanie 5.
24Zadanie 6.
24Zadanie 1.
25Zadanie 3.
27Zadanie 4.
28Zadanie 5.
28Zadanie 6.
28Zadanie 7.
28Zadanie 5.
39Zadanie 6.
40Zadanie 7.
40Zadanie 8.
40Zadanie 9.
40Zadanie 10.
41Zadanie 11.
41Zadanie 12.
41Zadanie 13.
41Zadanie 14.
41Zadanie 8.
43Zadanie 9.
43Zadanie 10.
43