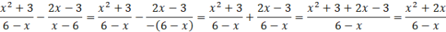
W tym zadaniu musisz wykonać działanie:
W działaniu, które musisz wykonać ułamki, mają różne mianowniki, ale zauważ, że jeśli wyłączysz minus z drugiego ułamka, uzyskasz takie same mianowniki. Dzięki temu wyrażenie możesz zapisać na jednej kresce ułamkowej i wykonać działanie. Aby wyznaczyć dziedzinę oblicz miejsce zerowe wyrażenia, które jest w mianowniku, a następnie wyrzuć tę liczbę ze zbioru liczb rzeczywistych.
Zadanie 1.
7Zadanie 2.
7Zadanie 3.
9Zadanie 4.
10Zadanie 5.
10Zadanie 6.
10Zadanie 7.
10Zadanie 8.
11Zadanie 9.
11Zadanie 10.
11Zadanie 11.
11Zadanie 1.
12Zadanie 2.
15Zadanie 4.
16Zadanie 5.
16Zadanie 6.
16Zadanie 7.
16Zadanie 8.
16Zadanie 3.
20Zadanie 4.
20Zadanie 5.
20Zadanie 6.
20Zadanie 7.
20Zadanie 8.
20Zadanie 2.
22Zadanie 3.
23Zadanie 4.
24Zadanie 5.
24Zadanie 6.
24Zadanie 1.
25Zadanie 3.
27Zadanie 4.
28Zadanie 5.
28Zadanie 6.
28Zadanie 7.
28Zadanie 5.
39Zadanie 6.
40Zadanie 7.
40Zadanie 8.
40Zadanie 9.
40Zadanie 10.
41Zadanie 11.
41Zadanie 12.
41Zadanie 13.
41Zadanie 14.
41Zadanie 8.
43Zadanie 9.
43Zadanie 10.
43