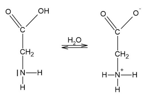
W tym zadaniu na dowolnym przykładzie przedstaw, w jaki sposób powstaje jon obojnaczy.
Rozwiązanie
Wyjaśnienie
Grupa aminowa może wiązać protony, a karboksylowa uwalniać. W wyniku takich reakcji przeniesienia protonu powstaje tzw. sól wewnętrzna (jon obojnaczy).