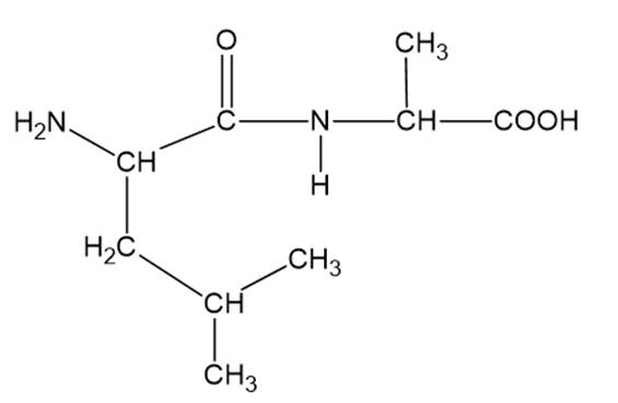
W tym zadaniu przedstaw wzór półstrukturalny dipeptydu Leu-Ala.
Ala-Leu i Leu-Ala to dwie różne struktury, ponieważ są połączone przez inne grupy. W tym wypadku grupa karboksylowa Leu łączy się z aminową Ala.
Ćwiczenie 1
Podpunkt a)
Podpunkt b)
Podpunkt c)
Ćwiczenie 2
Ćwiczenie 3
Ćwiczenie 4
Ćwiczenie 5
Ćwiczenie 6
Ćwiczenie 7
Ćwiczenie 8
Zadanie 1
Zadanie 2
Zadanie 3
Zadanie 4
Zadanie 5
Zadanie 6
Zadanie 7
Zadanie 8
Zadanie 9
Zadanie 10*
Podpunkt d)
Podpunkt e)
Podpunkt f)
Podpunkt g)
Podpunkt h)
Pytanie 1
Ćwiczenie 9
Ćwiczenie 10
Ćwiczenie 11
Ćwiczenie 12
Ćwiczenie 13
Zadanie 14
Zadanie 15
Zadanie 16
Zadanie 17
Zadanie 18
Zadanie 19
Zadanie 20
Zadanie 21
Zadanie 22
Zadanie 23
Zadanie 24