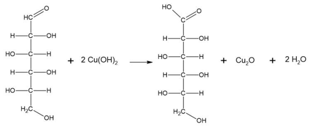
W tym zadaniu napisz równanie reakcji próby Fehlinga dla aldozy.
Rozwiązanie
Wyjaśnienie
Próba Fehlinga jest modyfikacją próby Trommera. Również pozwala na wykrycie właściwości redukujących. Jest to jedna z najstarszych i najbardziej popularnych metod wykrywania cukrów.