W tym zadaniu oblicz jak liczna grupa autokarów jadących na trasie Luksor - Hurghada w strzeżonym przez wojsko konwoju jest najkorzystniejsza dla konwojentów, skoro w konwoju nie może być więcej niż 40 pojazdów, wszyscy podróżujący muszą zapłacić łączną kwotę minimalną równą 6000 $, a jeśli w konwoju jest 30 autokarów, to koszt przejazdu wynosi 200 $ za pojazd. Cena spada o 5 $ za pojazd za każdy kolejny dołączony autokar.
Jeżeli w konwoju jedzie 30 pojazdów to przejazd dla jednego autokaru wyniesie 200 $, czyli w sumie za przejazd:
Jeśli x oznacza liczbę autokarów, o którą zwiększy się konwój 30 autokarów, to:
30 + x – liczba autokarów w konwoju
200 - 5x – liczba autokarów w konwoju
Kwota jaką otrzymają kierowcy:
bo nie może być więcej niż 30 + 10 = 40 pojazdów.
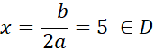
Postać ogólna funkcji:
Aby sprawdzić jak liczna grupa autokarów jest najkorzystniejsza, należy zobaczyć dla jakiego x funkcja f(x) przyjmuje wartość największą, a przyjmuje ją w wierzchołku (a < 0):
Zatem konwój powinien liczyć 30 + 5 = 35
Odp.: Najkorzystniej będzie, jeśli konwój będzie liczył 35 pojazdów.
Możesz opisać cenę przejazdu konwoju jako funkcję kwadratową, w której występuje iloczyn ceny przejazdu jednego autokaru i ilości autokarów. Funkcja ma a < 0 i przyjmuje wartość największą w wierzchołku. Wartość ta wyraża największą sumę jaką można zapłacić za przejazd konwoju, a współrzędna x wyznacza dla ilu pojazdów taka sytuacja ma miejsce.
Zadanie 1.5.
11Zadanie 1.6.
11Zadanie 1.7.
11Zadanie 1.8.
11Zadanie 1.10.
11Zadanie 1.12.
11Zadanie 1.13.
11Zadanie 2.2.
18Zadanie 2.3.
19Zadanie 2.9.
19Zadanie 3.1.
27Zadanie 3.2.
27Zadanie 3.3.
27Zadanie 3.4.
27Zadanie 3.5.
27Zadanie 3.6.
27Zadanie 3.7.
28Zadanie 3.8.
28Zadanie 3.9.
28Zadanie 3.10.
28Zadanie 3.11.
28Zadanie 3.12.
28Zadanie 3.13.
28Zadanie 3.14.
29Zadanie 3.16.
29Zadanie 4.1.
33Zadanie 4.2.
33Zadanie 4.3.
34Zadanie 4.4.
34Zadanie 4.5.
34Zadanie 4.6.
34Zadanie 4.9.
34Zadanie 4.11.
35Zadanie 4.12.
35Zadanie 5.2.
39Zadanie 5.3.
40Zadanie 5.4.
40Zadanie 5.5.
40Zadanie 5.7.
40Zadanie 5.8.
40Zadanie 6.1.
48Zadanie 6.2.
48Zadanie 6.3.
48Zadanie 6.4.
49Zadanie 6.12.
50Zadanie 6.13.
50Zadanie 6.15.
50Zadanie 23.
55Zadanie 24.
55Zadanie 25.
55Zadanie 26.
56Zadanie 27.
56Zadanie 29.
56Zadanie 30.
56Zadanie 31.
56Zadanie 33.
57Zadanie 46.
58Zadanie 47.
58Zadanie 48.
58Zadanie 50.
58