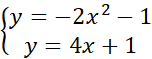
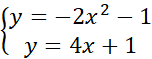
W tym zadaniu wykonaj obliczenia, aby znaleźć rozwiązanie układu równań
Rozwiązanie algebraiczne
Rozwiązanie graficzne
Aby rozwiązać to zadanie w sposób algebraiczny podstaw w pierwszym równaniu za y wyrażeniem z drugiego równanie, następnie doprowadź do najprostszej postaci, skorzystaj ze wzoru skróconego mnożenia
Aby rozwiązać to zadanie w sposób graficzny wykonaj następujące kroki:
1. Sprowadź równanie paraboli do postaci trójmianu kwadratowego
2. Oblicz współrzędne wierzchołka paraboli
3. Znajdź dwa punkty, które są położone symetrycznie względem wierzchołka.
4. Wyznacz kilka punktów należące do wykresu funkcji g(x).
5. Narysuj wykres obu funkcji w jednym układzie współrzędnych.
6. Odczytaj współrzędne wspólnych punktów obu funkcji. Są one rozwiązaniem układu równań.
Zadanie 1.5.
11Zadanie 1.6.
11Zadanie 1.7.
11Zadanie 1.8.
11Zadanie 1.10.
11Zadanie 1.12.
11Zadanie 1.13.
11Zadanie 2.2.
18Zadanie 2.3.
19Zadanie 2.9.
19Zadanie 3.1.
27Zadanie 3.2.
27Zadanie 3.3.
27Zadanie 3.4.
27Zadanie 3.5.
27Zadanie 3.6.
27Zadanie 3.7.
28Zadanie 3.8.
28Zadanie 3.9.
28Zadanie 3.10.
28Zadanie 3.11.
28Zadanie 3.12.
28Zadanie 3.13.
28Zadanie 3.14.
29Zadanie 3.16.
29Zadanie 4.1.
33Zadanie 4.2.
33Zadanie 4.3.
34Zadanie 4.4.
34Zadanie 4.5.
34Zadanie 4.6.
34Zadanie 4.9.
34Zadanie 4.11.
35Zadanie 4.12.
35Zadanie 5.2.
39Zadanie 5.3.
40Zadanie 5.4.
40Zadanie 5.5.
40Zadanie 5.7.
40Zadanie 5.8.
40Zadanie 6.1.
48Zadanie 6.2.
48Zadanie 6.3.
48Zadanie 6.4.
49Zadanie 6.12.
50Zadanie 6.13.
50Zadanie 6.15.
50Zadanie 23.
55Zadanie 24.
55Zadanie 25.
55Zadanie 26.
56Zadanie 27.
56Zadanie 29.
56Zadanie 30.
56Zadanie 31.
56Zadanie 33.
57Zadanie 46.
58Zadanie 47.
58Zadanie 48.
58Zadanie 50.
58