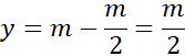
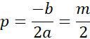
W tym zadaniu oblicz jaki będzie największy iloczyn dwóch liczb, których suma wynosi m.
Aby rozwiązać to zadanie przedstaw liczbę 50 jako sumę dwóch niewiadomych. Wyznacz wzór funkcji zmiennych, aby opisywał iloczyn tych liczb. Następnie przekształć funkcję tak, aby występowała w niej tylko jedna zmienna. Szukane liczby mają mieć jak największy iloczyn, dlatego powinieneś znaleźć argument, dla którego funkcja przyjmuje wartość największą. Otrzymana funkcja jednej zmiennej ma współczynnik a < 0, więc jej wartość największa znajduję się w wierzchołku. Wyznaczając współrzędne wierzchołka otrzymasz szukaną wartość zmiennej. Znając jedną zmienną oblicz drugą i ich iloczyn.
Zadanie 1.5.
11Zadanie 1.6.
11Zadanie 1.7.
11Zadanie 1.8.
11Zadanie 1.10.
11Zadanie 1.12.
11Zadanie 1.13.
11Zadanie 2.2.
18Zadanie 2.3.
19Zadanie 2.9.
19Zadanie 3.1.
27Zadanie 3.2.
27Zadanie 3.3.
27Zadanie 3.4.
27Zadanie 3.5.
27Zadanie 3.6.
27Zadanie 3.7.
28Zadanie 3.8.
28Zadanie 3.9.
28Zadanie 3.10.
28Zadanie 3.11.
28Zadanie 3.12.
28Zadanie 3.13.
28Zadanie 3.14.
29Zadanie 3.16.
29Zadanie 4.1.
33Zadanie 4.2.
33Zadanie 4.3.
34Zadanie 4.4.
34Zadanie 4.5.
34Zadanie 4.6.
34Zadanie 4.9.
34Zadanie 4.11.
35Zadanie 4.12.
35Zadanie 5.2.
39Zadanie 5.3.
40Zadanie 5.4.
40Zadanie 5.5.
40Zadanie 5.7.
40Zadanie 5.8.
40Zadanie 6.1.
48Zadanie 6.2.
48Zadanie 6.3.
48Zadanie 6.4.
49Zadanie 6.12.
50Zadanie 6.13.
50Zadanie 6.15.
50Zadanie 23.
55Zadanie 24.
55Zadanie 25.
55Zadanie 26.
56Zadanie 27.
56Zadanie 29.
56Zadanie 30.
56Zadanie 31.
56Zadanie 33.
57Zadanie 46.
58Zadanie 47.
58Zadanie 48.
58Zadanie 50.
58